欢迎访问费县易正田化学科技有限公司官方网站, 咨询热线:15153976389

产品分类

product list

联系我们

contact us


联系电话: 15153976389

                13605493186


传真:0539—5932168

邮箱:1919541865@qq.com

网址:www.13605493186.com

地址:山东省临沂市费县胡阳镇胡阳村1060号

联系人:梁经理

费县易正田-工业用碳酸氢铵生产者

企业标准

您当前位置: 网站首页 > 企业标准

工业用碳酸氢铵

1 范围

本标准规定了工业用碳酸氢铵的分子式和相对分子质量,技术要求,试验方法,检验规

则,包装、标志、运输及贮存。

本标准适用于以合成氨工艺生产的氨水经吸收二氧化碳制得的工业用碳酸氢铵,不适用于三聚氰胺联产的碳酸氢铵。依照本标准生产的产品主要用于冶炼、鞣革、日用化工、橡胶、电镀以及试剂等,不得用作食品添加剂,不得用于生产、加工食品和药物。

2 规范性引用文件

下列文件对于本文件的应用是必不可少的。凡是注日期的引用文件,仅所注日期的版本适用于本文件。凡是不注日期的引用文件,其最新版本(包括所有的修改单)适用于本文件。

GB/T 191 包装储运图示标志

GB/T 601 化学试剂 标准滴定溶液的制备

GB/T 602 化学试剂 杂质测定用标准溶液的制备

GB/T 603 化学试剂 试验方法中所用试剂及制品的制备

GB/T 6678-2003 化工产品采样总则

GB/T 6682 分析实验室用水规格和试验方法

GB/T 8946 塑料编织袋通用技术要求

3 分子式和相对分子质量

3.1 化学名称

碳酸氢铵。

3.2 分子式

NH 4 HCO 3

3.3 相对分子质量

79.06(按2011年国际相对原子质量)。

4 技术要求

4.1 感官要求

应符合表1的规定。

表1 感官要求

项目 要求
色泽 白色
气味 轻微的氨味
状态 结晶状粉末或颗粒

4.2 理化指标

应符合表2的规定。

表2 理化指标

项目 指标
总碱量(以 NH 4 HCO 3 计), W/% 99.0~100.5
氯化物(以Cl- 计), W/% ≤ 0.004
硫的化合物(以SO 42- 计),W/% ≤ 0.007
不挥发物,W/% ≤ 0.55

5 试验方法

5.1 一般规定

本标准所用试剂和水,在没有注明其他要求时,均指分析纯试剂和GB/T 6682中规定的三级水。试验中所用标准滴定溶液、杂质测定用标准溶液、制剂及制品,在没有注明其他要求时,均按GB/T 601、 GB/T 602、GB/T 603之规定制备。所用溶液在未注明用何种溶剂配制时,

均指水溶液。

5.2 感官要求

取适量试样置于50mL烧杯中,在自然光下观察色泽和状态。用手轻轻地扇动,使少量的气体飘入鼻孔嗅闻气味。

5.3 总碱量(以 NH 4 HCO 3 计)的测定

5.3.1 方法提要

试样中加入过量硫酸标准滴定溶液,在指示剂存在下,用氢氧化钠标准滴定溶液返滴定。

5.3.2 试剂和材料

5.3.2.1 硫酸标准滴定溶液: c (1/2H 2 SO 4 )=0.5mol/L。

5.3.2.2 氢氧化钠标准滴定溶液: c (NaOH)=0.5mol/L。

5.3.2.3 甲基红-亚甲基蓝混合指示液:称取0.1g甲基红溶于50mL95%乙醇中,再加入0.05g

亚甲基蓝,溶解后用 95%乙醇稀释至 100mL,混匀。

5.3.3 分析步骤

用称量瓶迅速称取约1g试样,精确至0.0002g。立即用水洗入预先盛有50.00mL硫酸标准滴定溶液的250mL锥形瓶中,摇动锥形瓶使试样反应完全。加热煮沸赶出二氧化碳,冷却后加入3~4滴甲基红-亚甲基蓝混合指示液,用氢氧化钠标准滴定溶液滴定至溶液呈灰色即为

终点。

5.3.4 结果计算

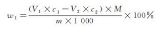
总碱量(以NH 4 HCO 3 计)的质量分数 1 w 按公式1计算:

...........(公式1)

式中:

1 V 加入硫酸标准滴定溶液的体积,单位为毫升(mL);

1 c 硫酸标准滴定溶液的浓度,单位为摩尔每升(mol/L);

2 V 滴定所消耗氢氧化钠标准滴定溶液的体积,单位为毫升(mL);

2 c 氢氧化钠标准滴定溶液的浓度,单位为摩尔每升(mol/L);

M 碳酸氢铵的摩尔质量,单位为克每摩尔(g/mol)[ M (NH 4 HCO 3 )=79.06];

m 试样的质量,单位为克(g);

1000 换算因子。

试验结果以平行测定结果的算术平均值为准。在重复性条件下获得的两次独立测定结果

的绝对差值不大于0.3%。

5.4 氯化物(以 Cl

- 计)的测定

5.4.1 方法提要

在酸性介质中加入硝酸银溶液,与氯离子生成白色氯化银悬浮液,与标准比浊溶液比较。

5.4.2 试剂和材料

5.4.2.1 30%过氧化氢。

5.4.2.2 硝酸溶液:1+5。

5.4.2.3 硝酸银溶液:17g/L。

5.4.2.4 碳酸钠溶液:25g/L。

5.4.2.5 氯化物标准溶液:1mL 溶液含氯(Cl-)0.1mg。

5.4.3 仪器和设备

5.4.3.1 瓷蒸发皿:100mL。

5.4.3.2 高温炉:温度能控制为 575 ℃±25 ℃。

5.4.4 分析步骤

称取2.00g±0.01g试样,置于瓷蒸发皿中,加30mL水溶解,加0.4mL碳酸钠溶液和1mL30%过氧化氢,缓慢蒸发至干。置于575 ℃±25 ℃高温炉中,灼烧40min,冷却。用30mL水将残渣溶解并转移至50mL的比色管中,必要时过滤。调整溶液体积约40mL,加入5mL硝酸溶液和1mL硝酸银溶液,用水稀释至刻度,摇匀,放置5min后进行比浊。其浊度不应超过标准比浊溶液产生的浊度。

标准比浊溶液:取0.6 mL氯化物标准溶液,置于瓷蒸发皿中,以下从“加0.4 mL 碳酸钠

溶液和1mL30%过氧化氢……”开始,与试样同时同样处理。

5.5 硫的化合物(以 SO 4

2- 计)的测定

5.5.1 方法提要

在试样中加入过氧化氢,使试样中的各种含硫离子转变为硫酸根离子,在酸性介质中钡离子与硫酸根离子生成白色硫酸钡悬浮微粒,与标准比浊溶液比较。

5.5.2 试剂和材料

5.5.2.1 30%过氧化氢。

5.5.2.2 盐酸溶液:1+1。

5.5.2.3 碳酸钠溶液:25g/L。

5.5.2.4 氯化钡溶液:50g/L。

5.5.2.5 硫酸盐标准溶液:1mL 溶液含硫酸根(SO 42-)0.1mg。

5.5.3 仪器和设备

5.5.3.1 瓷蒸发皿:100mL。

5.5.3.2 高温炉:温度能控制为 575 ℃±25 ℃。

5.5.4 分析步骤

称取4.00g±0.01g试样,置于瓷蒸发皿中,加40mL水溶解,加0.4mL碳酸钠溶液和1mL30%过氧化氢,缓慢蒸发至干。置于575 ℃±25 ℃高温炉中,灼烧40min,冷却。用30mL水将残渣溶解并转移至50mL的比色管中,必要时过滤。调整溶液体积约40mL,加入0.5mL盐酸溶液和5mL氯化钡溶液,用水稀释至刻度,摇匀,放置10min后进行比浊。其浊度不应超过标准比浊溶液产生的浊度。

标准比浊溶液:取2.8 mL硫酸盐标准溶液,置于50mL比色管中,以下从“调整溶液体积约40mL……”开始,与试样同时同样处理。

5.6 不挥发物的测定

5.6.1 方法提要

试样置于蒸发皿中,于蒸气浴上蒸发至干,于电热恒温干燥箱中干燥至质量恒定后称量不挥发物质量。

5.6.2 仪器和设备

5.6.2.1 瓷蒸发皿:50mL。

5.6.2.2 电热恒温干燥箱:温度能控制为 105℃~110℃。

5.6.3 分析步骤

称取约10g试样,精确至0.0002g,置于预先于105℃~110℃下干燥至质量恒定的瓷蒸发皿中,加20mL水,在蒸汽浴上蒸发至干。置于电热恒温干燥箱中,于105℃~110℃下干燥至质量恒定。

5.6.4 结果计算

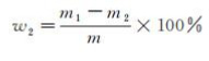
不挥发物含量的质量分数 2 w 按公式2计算:

.....................................(公式2)

式中:

1 m 干燥后不挥发物和蒸发皿的质量,单位为克(g);

2 m 蒸发皿的质量,单位为克(g);

m 试样的质量,单位为克(g);

试验结果以平行测定结果的算术平均值为准。在重复性条件下获得的两次独立测定结果

的绝对差值不大于0.005%。

6 检验规则

6.1 检验分类

检验分为出厂检验和型式检验。

6.2 出厂检验

项目为感官要求,总碱量(以NH 4 HCO 3 计)。

6.3 型式检验

6.3.1 型式检验项目包括第 4 章中全部指标。

6.3.2 型式检验应每年至少进行一次,有下列情况之一者,亦应进行型式检验:

a) 新产品或老产品转厂生产的试制定型鉴定;

b) 正式生产后,如材料、配方、生产设备、工艺有较大改变,可能影响产品性能时;

c) 产品停产三个月后,恢复生产时;

d) 出厂检验结果与上次型式检验结果有较大差异时;

e) 市场监督管理部门提出进行型式检验要求时。

6.4 组批及取样

6.4.1 产品按批检验,每批不得超过 60t,如每天产量不足 60t,以每天产量为一批。

6.4.2 产品按批采样,采样袋数的确定按照 GB/T 6678-2003 中 7.6 部分的要求执行。

6.4.3 取样时,用取样器自袋的中心垂直插入深度 3/4 处采取均匀试样,取样总量不少于2kg。将选取的试样迅速按四分法缩分至试样重量约 500g,分别装入两个清洁、干燥、带磨口塞的广口瓶中。瓶上粘贴标签,注明:生产厂名称,产品名称,批号和取样日期,一瓶供检验用,另一瓶密封置于凉爽,阴暗处,保留 15 天备查。

6.5 判定规则

6.5.1 出厂检验项目全部合格,则判该批产品为合格品。检验结果中如有一项指标不符合本标准要求时,应重新加倍抽样进行复检,复检结果如仍有一项指标不符合本标准要求,则该批产品不合格。

6.5.2 型式检验项目全部合格,则判该批产品为合格品。检验结果中如有一项指标不符合本标准要求时,应重新加倍抽样进行复检,复检结果如仍有一项指标不符合本标准要求,则该批产品不合格。如型式检验不合格,应停止生产至查明原因。

7 包装、标志、运输及贮存

7.1 工业用碳酸氢铵用符合 GB/T 8946 要求的塑料编织袋内衬塑料薄膜袋包装。每袋净重25kg。每批产品出厂时重量只允许正误差。也可根据客户要求确定每袋净重。

7.2 每批出厂的产品都应附有质量合格证,合格证应包括以下内容:生产厂家名称、产品名称、批号、生产日期、产品净重、产品质量及本标准编号。凡是添加防结块剂的产品,应注明“含防结块剂”。

7.3 工业用碳酸氢铵的包装袋上应涂刷牢固的标志。其内容包括:生产厂家名称、产品名称、净重、批号、本标准编号以及符合 GB/T 191 要求的“防热”、“防潮”标志。凡是添加防结块剂的产品,应注明“含防结块剂”。

7.4 工业用碳酸氢铵应装在铁路棚车或有篷布、带盖的交通工具内运输,以防潮、防雨。

7.5 工业用碳酸氢铵应贮存在阴凉干燥处,防止受热或阳光暴晒。并不得与有毒、有害、有腐蚀性物品及易与其发生化学反应的物品混贮、混运


免费预约留言

因为真实,让沟通变得更简单——费县易正田化学科技有限公司

版权所有:费县易正田化学科技有限公司 后台管理 技术支持:CTC 鲁ICP备2022020466号-1

鲁公网安备 37132502371426号

关闭